Italienische Genauigkeit

Benutzeravatar
Norton
Beiträge: 1472
Registriert: Mi 13. Nov 2013, 10:35
Erstzulassung: 2014
Km-Stand: 0
Erstzulassung der 2. XT1200Z: 0
Km-Stand der 2. XT1200Z: 0
Ort: Südweststeiermark

Italienische Genauigkeit

Beitrag von Norton »

Da ja öfters über die Abzocke auf Österreichs Strassen geschrieben wird, hier ein kleines Beispiel aus bella Italia:
Heute aus eben diesem schönen Land heimgekommen, fand ich folgendes Schreiben vor:
Scan_20170624 (3).png
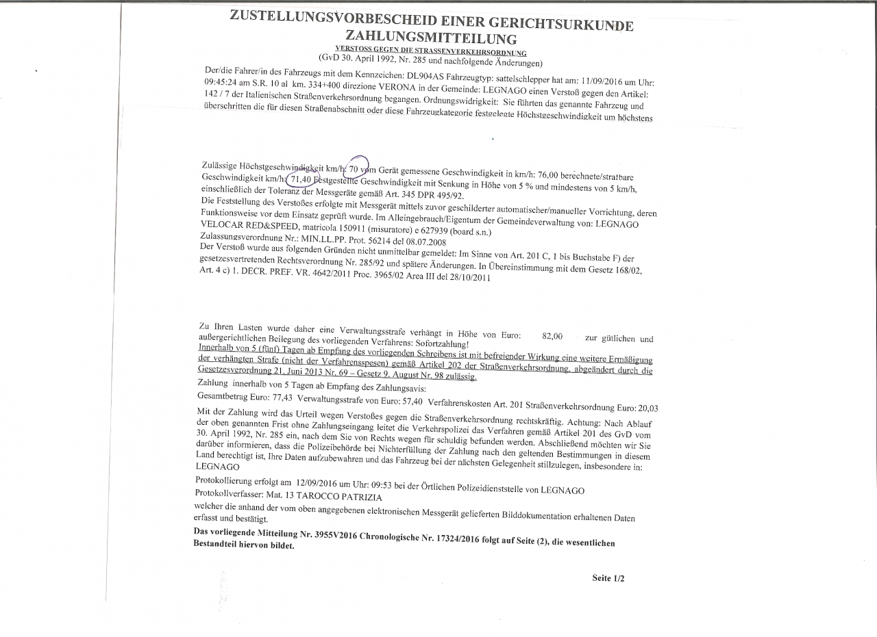
Falls es nicht genau zu lesen ist:
Am 11. 9. 2016, also vor einem 3/4 Jahr (!), fuhr ich in Legnago um 1,4 (!!) kmh zu schnell, Kostenpunkt 82 Euronen (!!). Bei sofortiger
Zahlung 77,43. Man kann dem Land nur wünschen, daß es in allen Bereichen so exakt und gesetzeskonform zugeht! Dies nur zur Warnung
für andere Italienfahrer.
L G Michael
Gruß Michael
Victoria Bergmeister...76 andere...Suzuki DR350SE...?
Benutzeravatar
deBubb
Beiträge: 463
Registriert: Fr 28. Jun 2013, 18:10
Erstzulassung: 2014
Km-Stand: 58
Modell: DP04
Erstzulassung der 2. XT1200Z: 0
Km-Stand der 2. XT1200Z: 0
Ort: Frankfurt

Re: Italienische Genauigkeit

Beitrag von deBubb »

Ich würde in jedemfall Widerspruch einlegen!

Imersten Satz nach den 71,40 km/h steht geschrieben, dass der Vorwurf, der dir zulasten gelegt wird, um 5% und mindestens 5km/h reduziert ist, als die gemessene Geschwindigkeit. Angeblich wurdest du mit 76 km/h gemessen...

Ja, ist sehr klugschxxxx mäßig, aber das muss man hier sein. würde mich in jedemfall vorab mal rechtlich informieren.
V-Strom DL650 L0 -> XT1200ZE
Benutzeravatar
Scholle
Beiträge: 443
Registriert: Fr 24. Okt 2014, 18:36
Erstzulassung: 2010
Km-Stand: 103645
Modell: DP01
Erstzulassung der 2. XT1200Z: 0
Km-Stand der 2. XT1200Z: 0
Ort: Bensheim, Südhessen

Re: Italienische Genauigkeit

Beitrag von Scholle »

Ich habe mal irgendwo gelesen, dass du in Italien sogar dein Moped beschlagnahmt bekommst, wenn du nicht bezahlst. Österreich kann in Deutschland vollstrecken, die haben extra ein Abkommen beschlossen. Vermutlich würde ich bezahlen.
Diskutiere nie mit Idioten, sie holen dich auf ihr Niveau und schlagen dich dort mit Erfahrung.
jalla

Re: Italienische Genauigkeit

Beitrag von jalla »

Ist ärgerlich, aber ich würde dennoch zahlen.
Die EUStaaten kassieren alle (treiben ein) durch deine Heimatkommune, falls du nicht willig bist.
Und dann wird es richtig hässlich.

Kopf hoch, gibt schlimmeres
Benutzeravatar
Norton
Beiträge: 1472
Registriert: Mi 13. Nov 2013, 10:35
Erstzulassung: 2014
Km-Stand: 0
Erstzulassung der 2. XT1200Z: 0
Km-Stand der 2. XT1200Z: 0
Ort: Südweststeiermark

Re: Italienische Genauigkeit

Beitrag von Norton »

Na ja, ich hab das so verstanden, daß nach Abzug aller Prozente eben diese 1,4 kmh übrigbleiben. Die Nachricht über dieses Schreiben
hat mir meine Tochter mitgeteilt, währen wir in eben diesem Land Urlaub machten. Um diese 5 Tagefrist nicht zu überschreiten, bat
ich sie, die Zahlung inzwischen für mich zu übernehmen. Hätte ich den Text früher genau gelesen, wer weiß, ob ich überhaupt gezahlt
hätte... Jedenfalls auch wenn die ganzen 6 kmh angerechnet worden wären, finde ich 80 Euro recht heftig. Aber wie man hört, soll es
ja in der Schweiz noch schlimmer sein. Aber man lernt ja aus allem :oops: .
L G
Gruß Michael
Victoria Bergmeister...76 andere...Suzuki DR350SE...?
Yeti
Beiträge: 2408
Registriert: Mo 7. Jul 2014, 16:45
Erstzulassung: 2019
Km-Stand: 50100
Erstzulassung der 2. XT1200Z: 0
Km-Stand der 2. XT1200Z: 0
Modell der 2. XT1200Z: Anderes
Ort: Lkr. Esslingen

Re: Italienische Genauigkeit

Beitrag von Yeti »

Norton hat geschrieben: Sa 24. Jun 2017, 17:34Aber wie man hört, soll es ja in der Schweiz noch schlimmer sein
Etwas unlogisch ist das nach meinem Verständnis schon, was da im zweiten Absatz des "Zahlungsvorbescheides...." steht:
76 km/h gemessen. Nach "Senkung um 5%" wären es noch 72,2 km/h. Mindestens jedoch minus 5 km/h, da wären es noch 71,0 km/h. Ich weiß nicht, ob man den 1 km/h zu viel in D unter den Tisch fallen lassen würde.
Was die Schweiz angeht so wären 1,4 km/h zu viel sogar billiger, dafür ist der "normale Streubereich" schon recht teuer :shock: :
www.bussgeldkataloge.eu/geschwindigkeit-schweiz.html

Grüße, Yeti.
Meine Moppeds: Zündapp DB200; BMWs: R69S - R100 - R100CS - R100GS > HPN-Sport - K1; Yammis: FZS1000; XT1200Z; Tracer900-GT
Benutzeravatar
deBubb
Beiträge: 463
Registriert: Fr 28. Jun 2013, 18:10
Erstzulassung: 2014
Km-Stand: 58
Modell: DP04
Erstzulassung der 2. XT1200Z: 0
Km-Stand der 2. XT1200Z: 0
Ort: Frankfurt

Re: Italienische Genauigkeit

Beitrag von deBubb »

in Deutschland wird nicht so pinibel gemessen. Hier wird immer das erlaubte +x als wert in der Kamera eingegeben. erst nach Überschreitung dieses wertes löstdie Kamera aus.

Beispiel erlaubte 80 km/h auf der Landstraße. Hier wird oft bei um die 90 erst ausgelöst. diese Info steht in de auch immer mit im Bescheid.
V-Strom DL650 L0 -> XT1200ZE
juergen007

Re: Italienische Genauigkeit

Beitrag von juergen007 »

Ich glaube, dass es gut war das Ticket zu bezahlen. Außer man hat Zeit, ist Jurist im europäischen Verkehrsrecht und kann sich dann einen Leitzordner Schriftverkehr gönnen.

Ob das nun richtig oder falsch gemessen ist, die Toleranz falsch oder richtig gerundet ist.....

Unsere europäischen Nachbarn langen, was Verkehrsdelikte betrifft, richtig hin:

Niederlande überschreiten der Parkuhr EUR 50,-

Spanien parken in der blauen Zone mit abgelaufenen Parkschein EUR 80,- wenn es nicht innerhalb von 21 Tagen bezahlt wird erhöht sich der Spass auf 120.

u.s.w. u.s.w.
affentwin

Re: Italienische Genauigkeit

Beitrag von affentwin »

Uno momento:

Typ Sattelschlepper? Warst du mit dem LKW unterwegs?
Wenn doch mit dem Motorrad, könnte das Teil nach deutschem Recht (hilft dir aber leider nichts) nichtig...

VG
Carsten
Benutzeravatar
Norton
Beiträge: 1472
Registriert: Mi 13. Nov 2013, 10:35
Erstzulassung: 2014
Km-Stand: 0
Erstzulassung der 2. XT1200Z: 0
Km-Stand der 2. XT1200Z: 0
Ort: Südweststeiermark

Re: Italienische Genauigkeit

Beitrag von Norton »

Hallo Leute!
Ja, die Sache mit dem Sattelschlepper ist mir natürlich auch aufgefallen. Es war halt ein Motorradtransporthänger. Die 77 Euro sind
dafür natürlich kein Pappenstiel, aber wegen der angeführten Ungereimtheiten den Rechtsweg zu beschreiten, war mir die Sache einfach
nicht wert.
L G Michael
Gruß Michael
Victoria Bergmeister...76 andere...Suzuki DR350SE...?
Antworten

Zurück zu „Plauderecke“